蜜胺泡綿,是世界上唯一同時具有吸聲降噪、阻燃、超輕質、隔熱保溫、后加工、衛生安全等優異特性的新型環保海綿。它有著高開孔率的三維網格結構,作為一種化工新材料,廣泛應用于高端建材、交通、軍事、航空航天、電子信息等領域,特別適合在有阻燃、高溫、降噪需求的條件下使用,擁有非常廣泛的用途,是21世紀具有巨大發展前景的新型環保材料。
蜜胺泡綿是一個充分的開孔的三維網格結構體系,其網格的長徑比即L/D約在10到20之間,其極高的開孔率特征(密度為4-20kg/m⊃;的蜜胺泡綿的開孔率高達99%以上)使得聲波能方便有效地進入泡沫體的深層并轉變為網格的震動能被消耗和吸收掉,且有效地消除反射波。
1、聲波的產生
①聲音的三個基本要素:
頻率:每秒振動的次數??陕犅暤念l率在20-20KHz
波長:聲源完成一周的振動,聲波所傳播的距離??陕犅暤牟ㄩL在17m-17mm。
聲速:每秒鐘傳播的距離。聲速與溫度有關,c=331.4+0.6t m/s c=fλ
②頻譜:通常噪聲都是由許多頻率組成的復合聲。聲音不同,其組成的頻率 和能量的分布也不同。正因如此,才能區別各色各樣的聲音,聲音的這些組成頻率和能量分布的關系,稱為這一聲音的頻譜,不同的聲音具有不同的頻譜。 例如,用頻率為橫坐標,以聲壓級為縱坐標,即可做出此聲音的聲譜圖。
③聲壓:有聲波時媒質中的壓力和靜壓力的差值。單位為Pa。
④頻譜:通常噪聲都是由許多頻率組成的復合聲。聲音不同,其組成的頻率 和能量的分布也不同。正因如此,才能區別各色各樣的聲音,聲音的這些組成頻率和能量分布的關系,稱為這一聲音的頻譜,不同的聲音具有不同的頻譜。

2、噪聲污染
1)什么是噪聲?
噪聲是人們不需要的聲音,噪聲是物理污染,噪聲是現代工業化帶來的后果,同時,噪聲和噪聲控制技術的進步也促進工業生產和交通運輸的發展。
2)噪聲控制:
噪聲控制是研究如何獲得適當聲學環境的技術科學,即達到經濟上、技術上和要求上合理的聲學環境。
3)噪聲降低的標準
《聲環境質量標準》GB3096-2008
《社會生活環境噪聲排放標準》GB22337-2008
《工業企業廠界噪聲標準》GB12348-2008
ETSI 300 735歐洲通訊設備測量標準和限制
噪聲標準分三類:
①聽力保護標準
②環境保護標準
③機電產品標準
4)噪聲的危害
①噪聲首先是對聽力的影響,作用是累計性的。噪聲性耳聾是不可逆的。當對500、1000、2000HZ三個頻率損失的平均值超過25—40分貝時,為輕度耳聾;40—65分貝時為中度耳聾;65分貝以上是重度耳聾。
②噪聲對神經系統的影響,使大腦皮層的興奮和抑制平衡失調,長久接觸產生頭痛、頭暈、耳鳴、失眠多夢、記憶力減退稱為神經衰弱或神經官能癥。
③對心血管系統亦有影響,使脈頻和血壓波動。
④噪聲對消化系統、內分泌系統、視覺器官的影響亦有報道。
⑤噪聲對胎兒發育、兒童智力均有影響,不可掉以輕心。
⑥噪聲更易激起民憤,引發社會問題。

3、隔聲原理
隔絕空氣聲往往采用木板、金屬板、墻體等固體介質阻擋并減弱在空氣中聲波的傳播,這些專門用來隔絕聲波的固體介質稱為隔聲材料。在噪聲治理工程中,為了提高隔聲效果,常將隔聲材料與其它聲學材料如吸聲材料、阻尼材料或空氣層復合在一起組成隔聲構件。隔聲構件可以組裝成不同形式和用途的隔聲結構,如隔聲控制室、設備隔聲罩和隔聲屏障等。
(1)封閉式隔聲圍護結構
對露天和半露天布置的噪聲源設置必要的建筑隔聲維護結構,對隔聲量不能有效匹配的圍護結構從聲學角度予以必要的匹配。
單層均質墻板在不同頻率下的隔聲量(dB)一般參照以下經驗公式計算:
R=16lgM+14lgf-29
100-3150Hz的平均隔聲量(dB)一般參照以下經驗公式計算:
R=16lgM+8 ( M≥200Kg/m2)
(2)聲屏障
在空氣中傳播的聲波遇到聲屏障時,就會產生反射、透射和繞射現象。一部分越過聲屏障頂端繞射到達受聲點;一部分穿透聲屏障到達受聲點,一部分在聲屏障壁面產生反射。聲屏障的插入損失主要取決于聲源發出的聲波沿著三條道路傳播的聲能分配。聲屏障的作用就是阻擋直達聲的傳播,隔離透射聲,并使繞射聲有足夠的衰減。當聲波撞擊到聲屏障的壁面上時,會在聲屏障邊緣產生繞射現象,而在屏障背后 形成“聲影區”。我們所期待的聲屏障的減噪效果就在“聲影區”的范圍內。與光影區相比較,由于聲波波長比光波波長大的多,因此,這種“聲影區”的邊界并不明顯,經過屏障邊緣之外,聲源發出來的聲波可以直接到達的范圍,叫做“亮區”。從亮區到聲影區之間還有一小段“過渡區”。位于“聲影區”內的噪聲級低于未設置聲屏障時的噪聲級,這就是聲屏障降噪的基本原理。

聲屏障的聲繞射原理圖
對于一個無限長聲屏障、點聲源的繞射聲衰減為:

聲屏障的繞射損失計算示意圖
從上式中可以看出,聲屏障的繞射損失完全取決于菲涅爾指數N,即取決于聲源和受聲點之間的聲程差,聲程差A+B-d越大,λ聲波波長越?。l率越高)則聲屏障的繞射損失越大,也就是說聲屏障的效果越好。 
4、消聲原理
消聲原理是利用吸聲材料和護面材料及隔聲材料設計成一定結構——消聲器來降低噪聲的一種方法。對所有的空氣動力性噪聲,噪聲源采取消聲治理后,要求既要有適宜的消聲量(即聲學性能),同時對設備的運行不能有明顯的影響(即良好的空氣動力性能)。消聲器是一種既能使噪聲得到有效的衰減又能保證氣流正常通過的一種設備。
阻性消聲器的消聲量參照以下經驗公式計算:

5、吸聲原理
利用吸聲處理在噪聲傳播途徑上進行控制是一種傳統常用而且有效的方法。當室內聲源發出的聲音遇到墻面、頂棚、地坪及其它物體表面時,都會發生反射現象。聲波在傳播過程中遇到各種材料時,都會發生一部分聲能被反射,一部分聲能向材料內部傳播并被吸收,一部分聲能透過材料在向外傳播。在噪聲源周圍設置了隔聲圍護結構的內側壁面上做必要的吸聲處理,不但可有效加強隔聲圍護結構的隔聲量,而且可降低室內的混響聲達3~8 dB(A),同時改善操作人員的操作環境,起到一定的勞動保護作用。
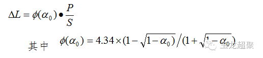
■房間內做吸聲處理后的最大吸聲降噪量一般參照下式計算

■房間內做吸聲處理后的平均吸聲降噪量一般參照下式計算

6、阻尼減振降噪措施 在薄板隔聲維護結構的隔聲背板上涂刷特殊配比的阻尼材料能有效增加隔聲結構的內阻尼,它能使隔聲構件的動能轉化為熱能,從而減少了構件的振動,因而阻尼對提高隔聲構件尤其是薄板隔聲結構的隔聲量有明顯的作用,特別是低頻共振時的隔聲量。





